جذب داروها در بیماری التهابی روده: تغییرات در بیان آنزیمها ی متابولیزه کننده و ناقلهای دارو
بیماری التهابی روده (IBD) با التهاب مزمن مخاط روده مشخص میشود که در کولیت اولسراتیو محل غالب آن در روده بزرگ بوده و در بیماری کرون کل طول دستگاه گوارش تحت تأثیر قرار می گیرد. شواهد متعدد نشان می دهند که بسیاری از پارامترهای فیزیولوژیکی اصلی تاثیر گذار بر جذب از جمله حجم مایع دستگاه گوارشی، pH ، زمان عبور، غلظت نمک صفراوی، میکروبیوم، سطح جاذب، نفوذپذیری، آنزیمها ی متابولیزه کننده و حاملها می توانند به واسطه این شرایط این بیماری تغییر بکنند. با توجه به اینکه شیوع برخی شرایط مزمن در بیماران مبتلا به IBD بالاتر از سایرین است و بسیاری از این بیماریها با داروهای خوراکی درمان میشوند، اخیرا توجه به تغییرات میزان جذب داروهای خوراکی در این بیماری بیشتر شده است. از جمله پارامتر های دخیل بررسی شده تغییرات در بیان آنزیمها ی متابولیزه کننده و ناقلهای دارو می باشد.
غشای اپیتلیال روده نه تنها به عنوان یک مانع ساختاری عمل میکند، بلکه دارای یک مانع آنزیمی در سیتوزول انتروسیتها نیز هست که جذب دارو در روده را محدود میکند. علاوه بر این، حاوی پروتئینهای ناقل است که میتوانند جذب (influx) داروها به سلولها را تسهیل نموده یا آنها را به داخل لومن روده در خلاف جهت شیب غلظت دفع کنند (efflux). تعامل بین ناقلهای برون انداز به ویژه P-گلیکوپروتئین (P-gp) و آنزیمهای متابولیزه کننده به ویژه سیتوکروم P450 3A4 (CYP3A4)میتواند متابولیسم عبور اول روده ایی دارو را افزایش دهد، زیرا مولکولهای داروی دفعشده توسط P-gp میتوانند دوباره جذب شوند و فرصتهای متعددی را برای CYP3A4 فراهم کنند.. توزیع آنزیمها و ناقلها در طول دستگاه گوارش همگن نبوده و این امر می تواند جذب منطقهای داروهای خاصی را که سوبسترا آنها می باشند را تحت تاثیر قرار دهد. به طور کلی، فراوانی باکثر آنزیمها و ناقلها در روده کوچک بیشتر بوده و به سمت روده بزرگ کمتر میشوند، بطوریکه حتی روده بزرگ از نظر فعالیت CYP و UDP-گلوکورونیل ترانسفراز می تواند نادیده گرفته شود. در مقابل، سطوح ناقلهای پروتئین مرتبط با مقاومت چند دارویی (MRP4) و ناقل مونوکربوکسیلات (MCT) در روده بزرگ در مقایسه با سایر مناطق روده به طور قابل توجهی بالاتر گزارش شده است .
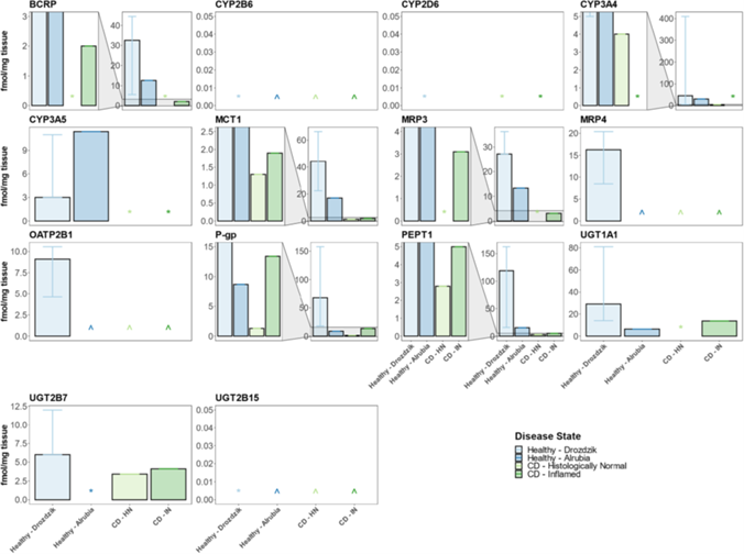
مطالعات متعدد نشان می دهند که در بیماری IBD، تغییراتی در بیان آنزیمها ها و ناقلها صورت می گیرد. با این وجود در خصوص نحوه تغییر، نتایج حاصل از برخی مطالعات به ویژه مطالعات قدیمی تر با یکدیگر همخوانی ندارند. این امر تا حدودی میتواند به حالتهای مختلف بیماری در این مطالعات و همچنین روشهای مختلف اعمال شده برای ارزیابی پروفایلهای بیان و وضعیت التهاب بافتهای انتخاب شده نسبت داده شود. مطالعات اولیه، از بیان نسبی mRNA یا ایمونواسیهای نیمه کمی برای ارزیابی بیان پروتئین استفاده کرده اند، در حالی که LC/MS-MS در حال حاضر به عنوان استاندارد طلایی در نظر گرفته میشود . Alrubia و همکارانش از این تکنیک برای ارزیابی بیان آنزیمها و ناقلها در بیوپسیهای همگن شده ایلئوم و کولون بیماران کرون فعال استفاده کردند .(Alrubia et al., 2022) در این مطالعه بین بافت ملتهب و بافت غیر ملتهب از نظر بافتشناسی در ایلئوم و روده بزرگ تمایز قائل شد و نتایج آنها با گروه کنترل سالم مقایسه گردید. مطالعه مشابهی توسط de Waalو همکارانش در بیوپسیهای بافت همگن از روده بزرگ سیگموئید و رکتوم بیماران کولیت اولسراتیو انجام شد (de Waal et al., 2022). این مطالعه شامل بیوپسیهای بافت ملتهب و غیر ملتهب بود ولی با گروه کنترل سالم مقایسه نگردید. بر اساس نتایج حاصله، در بیماری کرون، اکثرآنزیمها و ناقلها در مقایسه با گروه کنترل، کاهش قابل توجهی را هم در ایلئوم و هم در کولون نشان دادند و نتیجه اغلب در بافت ملتهب شدیدتر بود. یک استثنای قابل توجه P-gp بود که در مقایسه با گروه کنترل در ایلئوم ملتهب بیماری کرون 1.5 برابر افزایش یافته اما در ایلئوم غیر ملتهب 7 برابر کاهش یافته بود. در این مطالعه، P-gp و CYP3A4 در کولون شناسایی نشدند، که با مطالعات Drozdzik و همکاران (Drozdzik et al., 2019)مطابقت داشت. در مطالعه کولیت اولسراتیو، تنها 4 مورد از 13 ناقل مورد بررسی یعنی OATP2B1، MCT1، MRP4 و P-gp در کولون سیگموئید و رکتوم قابل شناسایی بودند و بیان همه این ناقلها در بافت ملتهب در مقایسه با بافت غیر ملتهب کاهش یافته اما هیچ تغییری درمیزان CYP3A4 مشاهده نشد (de Waal et al., 2022).
در مجموع، بیماری IBD میتواند به طور معنا داری بر سطح بیان آنزیمها و ناقلها تأثیر بگذارد، که میزان تغییر احتمالاً با میزان التهاب مرتبط است. همچنین به نظر میرسد که این تأثیر بسته به ناحیه روده و بین کولیت اولسراتیو و بیماری کرون متفاوت باشد. نظر به اینکه در بیماری کرون عمدتا ایلیوم که نفش حیاتی در جذب داروها دارد تحت تاثیر قرار می گیرد، لذا در مقایسه بیماری کرون و کولیت اولسراتیو، به نظر می رسد تغییرات ایجاد شده در بیان پروتئینهای آنزیمی و ناقل در بیماری کرون، تأثیر بیشتری بر حذب داروها داشته باشد.
Main Reference
Langeraert J, Gasthuys E, Vermeulen A. Small molecule drug absorption in inflammatory bowel disease and current implementation in physiologically- based pharmacokinetic models.
Eur J Pharm Sci. 2025 Jun 1;209:107095. doi: 10.1016/j.ejps.2025.107095. Epub 2025 Apr 3. PMID: 40187540.
References
Alrubia, S., Al-Majdoub, Z.M., Achour, B., Rostami-Hodjegan, A., Barber, J., 2022a. Quantitative assessment of the impact of Crohn’s Disease on protein abundance of Human intestinal drug-metabolising enzymes and transporters. J. Pharm. Sci. 111, 2917–2929.
de Waal, T., Handin, N., Brouwers, J., Ferrante, M., Vermeire, S., Vanuytsel, T., et al., 2022. The impact of inflammation on the expression of drug transporters and metabolic enzymes in colonic tissue from ulcerative colitis patients. Int. J. Pharm. 628, 122282.
Drozdzik, M., Busch, D., Lapczuk, J., Müller, J., Ostrowski, M., Kurzawski, M., et al., 2018. Protein abundance of clinically relevant drug-metabolizing enzymes in the Human liver and intestine: a comparative analysis in paired tissue specimens. Clin. Pharmacol. Ther. 104, 515–524.
Drozdzik, M., Busch, D., Lapczuk, J., Müller, J., Ostrowski, M., Kurzawski, M., et al., 2019. Protein abundance of clinically relevant drug transporters in the Human liver and intestine: a comparative analysis in paired tissue specimens. Clin. Pharmacol. Ther. 105, 1204–1212.
Eur J Pharm Sci. 2025 Jun 1;209:107095. doi: 10.1016/j.ejps.2025.107095. Epub 2025 Apr 3. PMID: 40187540.
References
Alrubia, S., Al-Majdoub, Z.M., Achour, B., Rostami-Hodjegan, A., Barber, J., 2022a. Quantitative assessment of the impact of Crohn’s Disease on protein abundance of Human intestinal drug-metabolising enzymes and transporters. J. Pharm. Sci. 111, 2917–2929.
de Waal, T., Handin, N., Brouwers, J., Ferrante, M., Vermeire, S., Vanuytsel, T., et al., 2022. The impact of inflammation on the expression of drug transporters and metabolic enzymes in colonic tissue from ulcerative colitis patients. Int. J. Pharm. 628, 122282.
Drozdzik, M., Busch, D., Lapczuk, J., Müller, J., Ostrowski, M., Kurzawski, M., et al., 2018. Protein abundance of clinically relevant drug-metabolizing enzymes in the Human liver and intestine: a comparative analysis in paired tissue specimens. Clin. Pharmacol. Ther. 104, 515–524.
Drozdzik, M., Busch, D., Lapczuk, J., Müller, J., Ostrowski, M., Kurzawski, M., et al., 2019. Protein abundance of clinically relevant drug transporters in the Human liver and intestine: a comparative analysis in paired tissue specimens. Clin. Pharmacol. Ther. 105, 1204–1212.

شکل 1- بیان آنزیمهای متابولیک و ناقل دارو در ایلئوم که با استفاده از پروتئومیک کمی با LC-MS/MS تعیین شده است. میلههای آبی روشن نمایانگر فراوانی پروتئین در داوطلبان سالم ازمطالعه Drozdzik و همکاران ، (Drozdzik et al., 2018; Drozdzik et al., 2019) میلههای آبی تیره نمایانگر فراوانی پروتئین در داوطلبان سالم از مطالعه Alrubia و همکاران (Alrubia et al., 2022) . میلههای سبز روشن نشاندهنده فراوانی پروتئین در بافتهای هیستولوژیک نرمال از بیماران مبتلا به بیماری کرون (CD) و میلههای سبز تیره مربوط به بافت ملتهب از بیماران CD از مطالعه Alrubia و همکاران است.